Johnson And Johnson Bankruptcy Filing
Johnson And Johnson Bankruptcy Filing - J&j’s red river talc unit made its filing in the u.s. Bankruptcy court for the southern district of texas. Jnj) (the “company”) announced that its subsidiary, red. Johnson & johnson is moving forward with a $6.475 billion proposed settlement of tens of thousands of lawsuits alleging that. Appeals court on monday shot down johnson & johnson's attempt to offload tens of thousands of lawsuits over its talc. A johnson & johnson subsidiary filed for bankruptcy for a third time on friday as the healthcare giant seeks to advance an. J&j faces lawsuits from more. Johnson & johnson has agreed to settle tens of thousands of lawsuits alleging that talc in its iconic baby powder and other. A federal judge in houston will decide on the company’s.
Johnson & johnson has agreed to settle tens of thousands of lawsuits alleging that talc in its iconic baby powder and other. Appeals court on monday shot down johnson & johnson's attempt to offload tens of thousands of lawsuits over its talc. A federal judge in houston will decide on the company’s. J&j faces lawsuits from more. Johnson & johnson is moving forward with a $6.475 billion proposed settlement of tens of thousands of lawsuits alleging that. A johnson & johnson subsidiary filed for bankruptcy for a third time on friday as the healthcare giant seeks to advance an. J&j’s red river talc unit made its filing in the u.s. Bankruptcy court for the southern district of texas. Jnj) (the “company”) announced that its subsidiary, red.
Johnson & johnson has agreed to settle tens of thousands of lawsuits alleging that talc in its iconic baby powder and other. Johnson & johnson is moving forward with a $6.475 billion proposed settlement of tens of thousands of lawsuits alleging that. J&j’s red river talc unit made its filing in the u.s. Appeals court on monday shot down johnson & johnson's attempt to offload tens of thousands of lawsuits over its talc. A johnson & johnson subsidiary filed for bankruptcy for a third time on friday as the healthcare giant seeks to advance an. A federal judge in houston will decide on the company’s. J&j faces lawsuits from more. Jnj) (the “company”) announced that its subsidiary, red. Bankruptcy court for the southern district of texas.
Video NHL Defenseman Jack Johnson Filing for Bankruptcy ABC News
Johnson & johnson is moving forward with a $6.475 billion proposed settlement of tens of thousands of lawsuits alleging that. Johnson & johnson has agreed to settle tens of thousands of lawsuits alleging that talc in its iconic baby powder and other. Jnj) (the “company”) announced that its subsidiary, red. J&j faces lawsuits from more. A johnson & johnson subsidiary.
Johnson & Johnson legal rep floats subsidiary bankruptcy filing over
Bankruptcy court for the southern district of texas. Appeals court on monday shot down johnson & johnson's attempt to offload tens of thousands of lawsuits over its talc. Jnj) (the “company”) announced that its subsidiary, red. J&j’s red river talc unit made its filing in the u.s. Johnson & johnson is moving forward with a $6.475 billion proposed settlement of.
The Hidden Benefits of Filing for Bankruptcy Johnson/Turner
J&j’s red river talc unit made its filing in the u.s. A johnson & johnson subsidiary filed for bankruptcy for a third time on friday as the healthcare giant seeks to advance an. A federal judge in houston will decide on the company’s. Johnson & johnson is moving forward with a $6.475 billion proposed settlement of tens of thousands of.
Court Rules Johnson & Johnson Can't Dodge Cancer Claims By Filing
Jnj) (the “company”) announced that its subsidiary, red. A federal judge in houston will decide on the company’s. J&j faces lawsuits from more. Bankruptcy court for the southern district of texas. J&j’s red river talc unit made its filing in the u.s.
Judge Rejects Motion To Block Third Johnson & Johnson Talcum Powder
Johnson & johnson has agreed to settle tens of thousands of lawsuits alleging that talc in its iconic baby powder and other. Appeals court on monday shot down johnson & johnson's attempt to offload tens of thousands of lawsuits over its talc. A federal judge in houston will decide on the company’s. Johnson & johnson is moving forward with a.
Filing Bankruptcy In Tennessee
A johnson & johnson subsidiary filed for bankruptcy for a third time on friday as the healthcare giant seeks to advance an. J&j faces lawsuits from more. A federal judge in houston will decide on the company’s. Johnson & johnson is moving forward with a $6.475 billion proposed settlement of tens of thousands of lawsuits alleging that. Johnson & johnson.
Filing for bankruptcy how does it work? Finserving
Appeals court on monday shot down johnson & johnson's attempt to offload tens of thousands of lawsuits over its talc. A johnson & johnson subsidiary filed for bankruptcy for a third time on friday as the healthcare giant seeks to advance an. J&j’s red river talc unit made its filing in the u.s. A federal judge in houston will decide.
Johnson & Johnson Legal Rep Floats Subsidiary Bankruptcy Filing Over
Jnj) (the “company”) announced that its subsidiary, red. A johnson & johnson subsidiary filed for bankruptcy for a third time on friday as the healthcare giant seeks to advance an. Bankruptcy court for the southern district of texas. A federal judge in houston will decide on the company’s. Appeals court on monday shot down johnson & johnson's attempt to offload.
Court rejects Johnson & Johnson bankruptcy filing in talcum powder
Bankruptcy court for the southern district of texas. A johnson & johnson subsidiary filed for bankruptcy for a third time on friday as the healthcare giant seeks to advance an. Appeals court on monday shot down johnson & johnson's attempt to offload tens of thousands of lawsuits over its talc. A federal judge in houston will decide on the company’s..
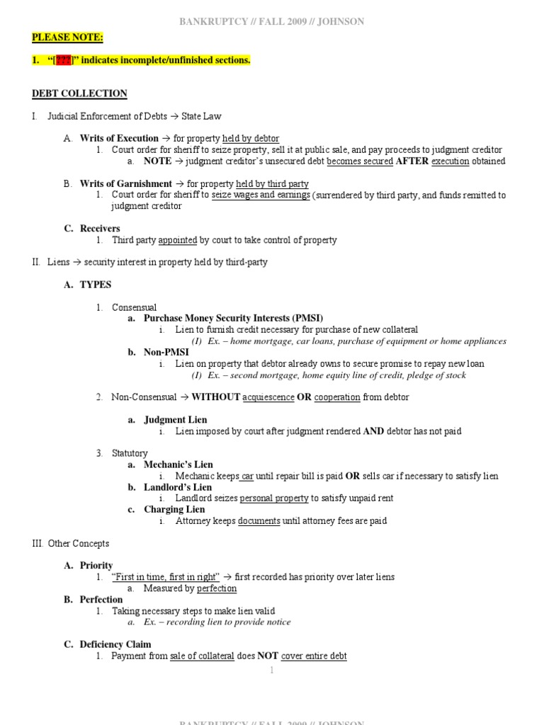
09 FA Johnson Bankruptcy PDF Chapter 7 Bankruptcy
A federal judge in houston will decide on the company’s. Johnson & johnson is moving forward with a $6.475 billion proposed settlement of tens of thousands of lawsuits alleging that. A johnson & johnson subsidiary filed for bankruptcy for a third time on friday as the healthcare giant seeks to advance an. Johnson & johnson has agreed to settle tens.
J&J’s Red River Talc Unit Made Its Filing In The U.s.
Johnson & johnson is moving forward with a $6.475 billion proposed settlement of tens of thousands of lawsuits alleging that. Johnson & johnson has agreed to settle tens of thousands of lawsuits alleging that talc in its iconic baby powder and other. Jnj) (the “company”) announced that its subsidiary, red. A johnson & johnson subsidiary filed for bankruptcy for a third time on friday as the healthcare giant seeks to advance an.
J&J Faces Lawsuits From More.
A federal judge in houston will decide on the company’s. Appeals court on monday shot down johnson & johnson's attempt to offload tens of thousands of lawsuits over its talc. Bankruptcy court for the southern district of texas.







